长者模式
无障碍浏览

嵩明县人民政府 www.kmsm.gov.cn

政府信息公开

政府信息公开指南
政府信息公开制度

依申请公开
索引号: 015126183-202508-101370 主题分类: 公示公告
发布机构:  嵩明县人民政府 发布日期: 2025-08-19 16:08
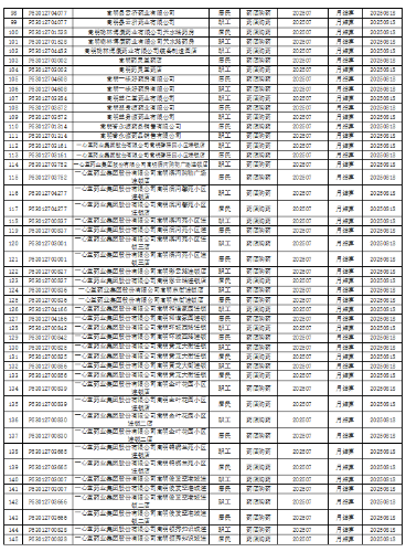
名 称: 嵩明县医疗保险中心2025年7月定点医药机构费用结算情况公示
文号: 关键字: 嵩明县,公示,中心,定点,医药

嵩明县医疗保险中心2025年7月定点医药机构费用结算情况公示

发布时间:2025-08-19 16:08
字号:[ ]

根据相关工作要求,现将20257月嵩明县定点医药机构费用结算情况公示如下:

1

2

3

4

5

6

7

8

9

10

11

12

13

14


公示期限:长期。

监督举报电话:0871-67920861


                                                        嵩明县医疗保险中心

                                           2025819


收起